Trần Minh Quân

 

  CUA : THỨC ĂN VÀ VỊ THUỐC 
                         (Phần 2 : Dinh dưỡng và ẩm thực)
 
                                                                                                                                            Trần Minh Quân

 
                Video: Hàng trăm nghìn con cua tụ tập lột xác giữa lòng đại dương

 
                                                         Cua biển
 

 
THÀNH PHẦN DINH DƯỠNG :

 
        Vì có khá nhiều loài cua được dùng làm thực phẩm, nên chỉ ghi nhận giá trị dinh dưỡng của vài loài cua chính như Alaska King crab, Blue crab..

 
                                    
Blue Crab GIF by The Crab Place
                          Blue crab

 
100 gram phần ăn được đã nấu chín chứa:

 
                 Alaska King crab            Blue crab 
 
                                                                                                       

   - Calories         90                              95                                         

   - Chất béo        1.43g                          1.65g                                      

       Bão hòa       0.11g                          0.22g                                  
   
Chưa bão hòa mono    0.22g                   0.22g
                                                      
Chưa bão hòa poly      0.55g                  0.65g

       Cholesterol           49mg                  93mg 
 
                                 

- Chất đạm            18g                          18.9g                               

- Sodium              1000mg                    250mg                            

- Potassium                                           303mg                                    

- Magnesium          59.1mg                    30.3mg                       

- Sắt                        0.77mg                     0.65mg  

 
- Calcium                                                 95mg
 
                                  

 
- Kẽm              7.1mg                              3.9mg
                                                         
- Vitamin B12        10.4µg                       6.8µg

- Folate              47.4mg                          47.3mg                              

- Vitamin B6         0.23mg                       0.21mg

- Niacin                                              3.0mg                                       

              (Theo Prevention Magazine's Nutrition Advisor)

        Thành phần Acid béo Omega-3 trong một số loài Cua:

        Theo 'Health Effects of Polyunsaturated Fatty Acids in Seafoods' thành phần Acid béo trong vài loại Cua (100g phần ăn được) được ghi nhận như sau :

                     Linoleic acid             EPA              DHA

- Cua , Alaska king vết                   0.2g             0.1g

- Cua Dungeness                            0.2g             0.1g

- Blue crab                                   0.2g                0.2g
 
                             

 
- Snow crab                                 0.2                   0.1                              
        Xét về phương diện dinh dưỡng, các loài cua biển như Alaska King, Blue, Dungeness là những nguồn cung cấp khá tốt về Vitamin B12, đồng thời ít chất béo. Cua biển cũng chứa một số lượng khá lớn kẽm, calcium, magnesium, folate và Vitamin C. Lượng acid béo Omega-3 tương đối khá cao giúp ích cho các vấn đề tim-mạch. Một số nghiên cứu về dinh dưỡng ghi nhận là cua có thể giúp làm giảm các lượng cholesterol 'xấu' và triglycerides trong máu. Ngoài ra Cua chứa ít cholesterol hơn Tôm và Mực.

 
        Tuy nhiên Cua có chứa nhiều sodium và purines nên không thích hợp cho những người bị cao huyết áp và gout.
Alaska Crab GIFs - Find & Share on GIPHY
                     Alaska king Crab 
 

 
King of Crabs - GIF - Imgur
                King Crab
 

 
Monterey Bay Aquarium — The California King Crab: The height of  crustacean...
The California King Crab

 
        Giá trị dinh dưỡng của cua lột:

 
        Cua lột hay Soft-shell crab, có khi gọi là soft-shell, được xem là một món ăn đặc biệt, cua ăn nguyên con vì không có mai cứng và vỏ cứng bọc các càng và chân cua. Mỗi địa phương có dùng riêng một loài cua lột thích hợp. Tại Hoa Kỳ, blue crab (Callinectes sapidus) được xem là loại cua lột ăn ngon nhất, tại Á châu các loài ghẹ thường được dùng làm cua lột..
                         
 
                  Giant Spider crab molting on Make a GIF
                             Giant Spider crab molting = Cua nhện khổng lồ lột xác

 
        Một trong những món ăn đặc biệt được nhiều người ưa chuộng là món Cua lột chiên (cua được bao với bột, ruột bánh mì và sau đó chiên bằng bơ). Do đó đây là một món ăn không mấy thích hợp cho sức khỏe.

        Trị số dinh dưỡng của 100g cua lột chiên:

- Calories                                        367

- Chất béo                                       19.6g

          - Chất béo bão hòa                      4.64g

          - Chất béo chưa bão hòa mono            8.47g

          - Chất béo chưa bão hòa poly            5.39g

          - Cholesterol                           50mg

- Sodium                                          1236mg

- Chất đạm                                        12.1g

- Carbohydrates                                   34.2g

- Calcium                                         60mg

- Magnesium                                       27.5mg

- Sắt                                             1.98mg

- Vitamin B12                                     4.95µg

- Thiamine                                        0.11mg

- Folate                                           22µg

- Niacin                                            1.9mg

- Vitamin B6                                        0.22mg


 
(Trên thực tế, nếu ăn cua blue crab hấp thay vì cua lột chiên bơ thì giá trị dinh dưỡng sẽ tốt hơn vì cua hấp chứa lượng chất đạm cao gấp đôi, lượng chất béo giảm được 1/2 và lượng sodium giảm được đến 1/5.)  

 
Fieri Frames — [Boom, there it is. Now, we're going to get some...
  
 
Soft-shell crab = Cua lột

 
                1717951513861blob.jpg
 
                  Cua lột lăn bột chiên

 

 
        Giá trị dinh dưỡng của Cua đồng tại Việt Nam:

 
        Theo 'Cây thuốc và động vật làm thuốc ở Việt Nam' do Viện Dược liệu ấn hành: 'Thịt cua đồng chứa 12.3% protid, 3.3% lipid, 5040mg% Ca, 430mg% P, 4.7mg% Sắt, 0.01mg% Vitamin B1, 0.51mg% Vitamin B2, 2.1mg% Vitamin PP, 0.12mg% Vitamin B6, 125mg% Cholesterol, ngoài ra còn có 0.25mg% melatonin..

 

 
VÀI NGHIÊN CỨU KHOA HỌC LIÊN HỆ ĐẾN CUA:

        Ngộ độc do ăn Cua đồng nấu chưa chín:


        Theo Cơ quan Y Tế California (tháng 8 năm 2006), ăn cua đồng loài Sawagani crab, sống hay nấu chưa chín có thể bị bệnh sán phổi do ký sinh trùng Paragonimus. Ký sinh trùng sống bám trong cua có thể vào trong ruột bệnh nhân và sau đó chuyển sang phổi gây ra các triệu chứng đau bụng, tiêu chảy, khi sang phổi gây ra các triệu chứng ho, đau tức ngực, khó thở, nóng sốt và nổi mề đay. (California Dept of Health Services-News Release August 18, 2006)

        Tại Việt Nam, có một số trường hợp các lực sĩ thi vật uống nước cua đồng (sống) để tăng thêm sức và thêm dẻo dai, đã bị nhiễm bệnh Paragonimus nơi phổi.

        Độc chất trong Cua biển và Ngộ độc sau khi ăn Cua:

        Một số các trường hợp chết do nhiễm độc khi ăn cua biển đã được ghi nhận tại nhiều nơi trên thế giới như Nhật, Philippines, Fiji, Palau Islands, Mauritius, Vanuatu và Đông Timor.. Thủ phạm thường gây tai họa là Cua biển trong họ Xanthidae. Cua biển trong họ này có chứa trong cơ thể các độc tố gây ra bệnh Paralytic Shellfish Poisoning (PSP).

        Sau khi ăn cua, chỉ trong vòng 30 phút, người bị PSP sẽ có những triệu chứng như cảm thấy nóng bừng và tê nơi môi, mặt, cảm giác này lan đến cánh tay và đùi, sau đó đến các ngón tay và ngón chân rồi tê hoàn toàn. Sau đó nạn nhân bị tê liệt toàn thân, các cử động trở thành khó khăn tuy vẫn tỉnh thức. Một số các triệu chứng nhẹ hơn cũng xẩy ra như choáng váng, nhức đầu, chảy nước bọt, khát nước nhiều, toát mồ hôi, ói mửa, tiêu chảy.. Liều độc cao có thể gây chết vì khó thở trong vòng 12 giờ.. Nếu nạn nhân chịu đựng được và vượt được qua khoảng thời gian 12 giờ sẽ có cơ hội phục hồi hoàn toàn..

        Hiện nay chưa có thuốc giải PSP..


        Độc chất quan trọng nhất gây ra PSP là Saxitoxin, đây là một chất độc tác động trên hệ thần kinh mạnh nhất được biết đến nay và tính theo trọng lượng so sánh gram/gram giữa saxitoxin và Cyanide thì saxitoxin mạnh gấp đến 1000 lần.

        Tác nhân đầu tiên gây ra PSP, đã được xác định vào năm 1966, tuy nhiên các chất độc hướng thần kinh này đều ly trích từ các rong tảo li ti nơi biển, và cua gây bệnh có thể đã ăn các rong tảo này..

        Các độc chất trong Cua gây PSP gồm Gonyautoxin 1-4 , Neosaxitoxin, Saxitoxin, Decarbamoyl saxitoxin, Tetrodotoxin.. Các độc tố này không bị hủy diệt do nhiệt hay đông lạnh, do đó dù cua đã được nấu chín độc tố vẫn giữ nguyên hoạt tính..

        Độc tố tập trung trong nội tạng của cua, do đó nên thận trọng khi ăn phần chất mềm trong mai cua (?)

        Saxitoxin tuy là một chất độc nhưng hiện nay đang được nghiên cứu để trị một số trường hợp ung bướu ác tính.

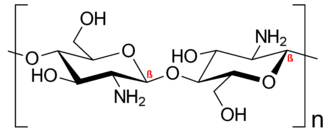
CHITIN TỪ VỎ CUA :

        Vỏ Cua, Tôm (nói chung là các sinh vật loài Giáp xác (Crustaceans) được cấu tạo bằng các hợp chất hóa học trong đó Chitin chiếm một vị trí quan trọng. Chitin là một chất sinh học có thể so sánh được với polysaccharide cellulose và với keratin. Tuy keratin là một protein và chitin là một carbohydrate nhưng cả hai đều có một số chức năng cấu trúc tương tự. (Xin đọc phần Chitin trong bài Tôm, trong 'Đặc tính dinh dưỡng và Trị liệu của Cá và Thủy sản, tập 1). Chitin có nhiều công dụng trong Y học và trong Công nghiệp.

        Trong công nghiệp chitin được dùng để lọc nước, làm chất phụ gia giúp làm đặc và ổn định hóa thực phẩm; làm chất kết dính = binders trong phẩm màu, vải sợi và keo hồ dán. Các màng mỏng dùng trong việc chia cắt hóa chất và trong các nhựa trao đổi ions có thể được chế tạo bằng chitin.
                               1717944159620blob.jpg
 
                                               Chitine
 

 
        Trong Y-dược, chitin được dùng làm sợi, chỉ trong giải phẫu, các sợi và chỉ này tự hủy trong tiến trình tự nhiên của việc lành vết thương, đồng thời cũng làm cho vết thương mau lành hơn (Antimicrobial & Clean Technology Solutions).

 

 
        Những công nhân làm việc trong các môi trường có mức độ cao chitin như chế biến thủy sản, thường dễ mắc các triệu chứng Suyễn. Các nghiên cứu gần đây ghi nhận chitin có thể là một trong các tác nhân gây ra Suyễn. Chuột cho dùng chitin, có các phản ứng dị ứng, gây ra do sự tích tụ các tế bào miễn nhiễm bị ức chế interleukin- 4. Phản ứng này được giải trừ khi cho dùng chitinase.

 
        Chitosan, một chất chuyển hóa từ Chitine, có thể ly trích từ vỏ cua cũng có một số hoạt tính đáng chú ý như chống đông máu, do cơ chế tác dụng bằng ức chế Yếu tố Xa và hoạt tính thrombin. Cơ chế hoạt động này tương tự như Heparin (Science Asia Số 29-2003).
                           1717944640624blob.jpg
 
 
              
NHỮNG MÓN ĂN TỪ CUA :

 
        Có rất nhiều món ăn được chế biến từ Cua. Từ những loài cua lớn như Alaska King crab đến các loài nhỏ hơn như Còng, Ba khía..

        * Cua trong các món ăn Phương Tây:

        Phương Tây thường chỉ dùng Cua dưới dạng thịt được gỡ sẵn, đóng hộp và đông lạnh. Loại được ưa chuộng nhất vẫn là Cua Alaska và Blue crab.

 
       - Người Pháp thích ăn cua dưới dạng trộn lẫn với thịt, thêm gia vị, nhồi trở lại vào mai cua, đem hấp chín để thành món Crabe farcie, hay dùng thịt cua đã gỡ vỏ trộn chung với khoai tây luộc chín, củ cải đỏ, sốt mayonnaise.. thành món Salade russe au Crabe.
1717957694466blob.jpg 1717957947398blob.jpg
 
           Crabe farcie              /    Salade russe au Crabe.
 

 
       - Tại Tây Ban Nha, món cua được ưa chuộng nhất tại vùng Basque và Bắc Tây Ban Nha là Snow crab (centollo, txangurro);  thịt cua cái được xem là ngon hơn cua đực. Món nổi tiếng là cua nhồi thịt hay Txangurro relleno.

 
                                    1717957351751blob.jpg
                                        Txangurro relleno
 

 
       - Tại Ý, spider crab hay grancevola được xem là cua ngon nhất và món spider crab nhồi được gọi là Granzole hay Moleche ripiene. Các loài cua khác được gọi chung là Granchio, được dùng nấu súp, ăn hấp..

 
                                Researchers seek answers on the march of the giant spider crab in Port  Phillip Bay
                 The giant spider crab =  Cua nhện khổng lồ
 

                                        1717952243477blob.jpg
 
                                            Granzole hay Moleche ripiene
 

 
       * Cua trong Món ăn Phương Đông :

 
       Đối với Phương Đông, Cua là món ăn tương đối rẻ (Cua đồng), nhưng không kém phần hấp dẫn và bổ dưỡng. Các nước Á châu, ngoại trừ các nước Hồi giáo (không ăn một số loài tôm cua, cá..) đều có những món ăn đặc biệt chế biến từ cua..

 
King Crab Moving GIF - King Crab Moving Shocked - Discover & Share GIFs
                        King Crab

 
      - Tại Singapore, nơi khu Bãi biển Changi có những Nhà hàng nổi tiếng thế giới về món Cua xào gừng, với tiêu, tỏi, ớt.. dùng loài cua Scylla serrata đánh bắt ngay tại vùng đầm lầy ven biển.. Người Triều châu tại Singapore thích ăn món ba khía ngâm giấm..

 
       1717952807551blob.jpg 1717952993574blob.jpg
 
                                                                                          Scylla serrata
 

 
      - Tại Thượng Hải (Shanghai), Trung Hoa, có loài cua Shanghai Hairy crab, mai hình vuông, lông phủ dọc chân và theo viền mai. Cua có rất nhiều gạch; khi ăn được dọn chung với trà gừng nóng và cánh hoa cúc để giúp cân bằng tính cách khó tiêu..     
                         1717953373989blob.jpg
 
                               Shanghai Hairy crab
 

 
      - Tại Việt Nam:

 
        Tại Việt Nam, cua đóng góp một số món ăn trong kho tàng ẩm thực: Từ những món đặc biệt như Cua Huỳnh đế đến các món dân gian như Bún riêu, Canh bún và những món khó quên như Trứng cáy, mắm còng, mắm ba khía..
                               1717957054723blob.jpg

 
                                                               Bún riêu
 

 
          - Cua Huỳnh đế: Một đặc sản tại các vùng đảo ngoài khơi Biển Đông nhất là Hòn Tre, đảo Phú Quý.. Cua Huỳnh đế hay Monkey-God crab (Flower-moon crab), thuộc họ cua Calappidae, lớn chừng 7cm, mai màu xanh lá chuối có những hoa văn màu đen hay tím, có lông ở cổ và đuôi. Cua có thịt rất chắc, chứa nhiều chất đạm, nấu cháo rất ngon.
         1717953921427blob.jpg  
                          Cua Huỳnh đế
 
 
            1717954214320blob.jpg
                        Cháo Cua Huỳnh đế
 

 
        - Trứng cáy: Đây cũng là một món ăn được xếp vào loại đặc sản của miền Bắc Việt Nam. Cần phân biệt bánh trứng cáy làm bằng trứng của cáy trộn với hồ nếp hay hồ tẻ, nặn thành bánh mỏng theo kiểu bánh phồng tôm rồi phơi khô với loại 'bánh cáy Nguyên Xá' chỉ một loại bánh chế biến từ gạo nếp đặc biệt của làng Nguyên Xá, Thái Bình Việt Nam. (Xem Diễn đàn Ca Dao Tục ngữ VN: cadaotucngu.com).
                                     1717954537048blob.jpg
 
                                           Trứng cáy
 

 
                                             1717954862374blob.jpg
 

 

 
        - Mắm còng: Là một món ăn đặc biệt tại một số địa phương miền Nam Việt Nam, nổi tiếng nhất là mắn còng Phước Đông, của Cần Đước Long An:

                    'Thương anh, em tặng mắm còng
 
                     Nhớ em anh đến Phước Đông anh tìm..'
                                        1717955123895blob.jpg
 
                                         Mắm còng
 

 

 
        - Mắm ba khía: Có khá nhiều loại mắm ba khía, tùy theo địa phương sản xuất như mắm ba khía Bạc liêu, ba khía Châu đốc, ba khía Rạch gốc.. nhưng mắm ba khía Cà mâu được xem là ..ngon nhất, do loài ba khía Cà mâu ăn toàn những trái mắm chín rụng xuống vùng rừng ngập nước lợ. Một trong những món 'nhậu' đơn giản nhưng..'tuyệt vời' của người Cà mâu là Ba khía luộc xa, trộn với trái bần chua xắt miếng thêm chanh, đường ớt..(Xem Món ngon Miền Nam Xưa và Nay của Nam Sơn Trần văn Chi).
                               1717955391344blob.jpg
                                       Mắm ba khía
 
          
CUA TRONG ĐÔNG, NAM DƯỢC :

        Đông, Nam dược hay đúng hơn Y dược dân gian Trung Hoa và Việt nam dùng Cua, nhất là Cua đồng và Cáy làm thuốc.

        Cua đồng còn gọi Điền giải và một tên khác ly kỳ hơn là Vô tràng công tử. Cua đồng được xem là có tính lạnh, vị tanh/mặn có các tác dụng tán huyết, bổ gân cốt đả thông kinh mạch, tác động vào các kinh mạch thuộc Can và cả Ngũ tạng.

      - Trong 'Nam dược Thần hiệu' Tuệ Tĩnh đã ghi: Điền giải = Cua đồng, vị mặn, tính hàn hơi độc, sinh phong liền gân, nối xương, trị nhiệt tả, bạt độc, trừ ghẻ lở và máu kết cục.

       'Cua đồng thì kiêng thứ 6 chân hoặc 4 chân, mắt đỏ, bụng dưới có lông, trong bụng có xương, đầu lưng có chấm sao, chân có khoang thì chớ ăn mà hại người, nên cẩn thận'

      - Trong 'Lĩnh nam Bản thảo' Hải thượng Lãn ông ghi:

               'Điền giải là tên gọi cua đồng

                Ngọt lạnh, ít độc hay sinh phong

                Nối gân, tiếp xương, chữa phong nhiệt

                Trừ mụn độc lở, huyết kết thông..'

      - Cua đồng giả nát lấy nước cốt, vắt qua vải thưa bỏ bã, có tác dụng làm liền gân cốt, phá được các chứng ứ huyết, đọng máu, trị được hoàng đản (vàng da). Một phương thuốc Nam thông dụng để trị bầm tím do trật đả là cho uống nước vắt từ cua đồng đã giã nhuyễn, tác động này yếu hơn là dùng mật trăn hay mật gấu.

      - Cua đồng cũng được dân gian dùng để trị các trường hợp ngộ độc do ăn khoai mì (sắn): uống nước giả nhuyển từ 5-10 con cua đồng sống.
 
 
      - Gạch cua hay Giải hoàngĐược dùng để thoa các vết lở, ghẻ; chữa đứt tay, đứt gân, nứt thịt.

 
      - Càng cua hay Giải trảo: Có tác dụng phá huyết đọng, mạnh hơn thịt cua, thường dùng để trị các trường hợp xung và ứ huyết. Càng cua cũng được dùng để trị chứng sản hậu ứ tích bụng đau, kết u trong bụng.

      - Mai cua hay Giải xác: Vị chua, tính hàn, có độc; tác dụng phá ư, tiêu tích. Thường dùng dưới dạng thiêu tồn tính, tán thành bột đắp trị sưng nứt vú, nẻ da.

RẠM HAY BÀNH KỲ :

        Rạm thường có tên gọi là Bành kỳ, được xem là có vị mặn, tính lạnh, ít độc, Mỡ rạm được dùng thoa trị các vết lở, ung nhọt..

THEO Y-HỌC TRUNG HOA NGÀY NAY :

        Cua được dùng để trị trật chân, tay, giúp làm liền xương; trị các vết lở do sơn laque (dầu bóng trong kỹ nghệ sơn mài) gây ra.

        Do tác dụng phá khối u và tống xuất khối cục tồn đọng, Đông Y khuyên Phụ nữ có thai nên giới hạn ăn cua; người đau ốm mới khỏe, hệ thống tiêu hóa còn yếu cũng nên tránh ăn cua.

        Mai cua biển được dùng tại các bệnh viện Trung Hoa để trị ung thư(?) ngực nơi phụ nữ bằng cách nướng vỏ cua và tán thành bột, cho uống mỗi ngày 3 lần, mỗi lần 7g với rượu trắng.. Tác dụng này được giải thích là do ở chitin trong vỏ cua?

        Khoa dinh dưỡng 'mới' của Trung Hoa dùng cua để chế biến thành một số món ăn có tính cách hỗ trợ trị liệu các trường hợp tiểu đường, cao huyết áp và cao cholesterol trong máu:

       - Cua nấu thuốc bắc: Cua được nấu chung với các vị thuốc: Hải tảo (Rong biển), Thục địa (Rehmania glutinosa), Mạch môn (Ophiopogon japonicus), Táo tàu. Đây là phương thức chữa 'Tiêu khát' (Tiểu đường) bằng cách giúp bớt khát, giảm đói và bổ thận.

       - Cua nấu sâm: Cua nấu chung với Sâm bố chính, Hoài sơn .. có tác dụng thanh nhiệt, trị táo bón.

THEO NHẬT DƯỢC :

         Dược học Nhật sử dụng 2 loài Cua chính để làm thuốc, gọi chung dưới tên Zukani. Theo 'Thần nông Bản thảo kinh' thì đây là Cua Thiên tân (Tien-tsin crab). Vị thuốc là Cua (nguyên con) phơi khô từ các loài Eriocheir sinensis và Eriocheir japonica.

         Zukani được dùng đề trị các trường hợp tụ huyết, huyết ứ; giúp làm tiêu được 'ác khí' nơi ngực, trị ngộ độc do rượu, phù do ứ nước..

CÁC THỬ NGHIỆM TẠI NHẬT GHI NHẬN :

         Dung dịch trích bằng ether hay ethanol từ cua zukani có hoạt tính làm hạ huyết áp nơi mèo, làm co thắt bắp thịt tử cung nơi chuột bọ, đồng thời kích thích sự bài tiết của các hạch nội tiết.

         Đặc chế Nhật Po-chu-san là thuốc trị trật đả gồm các hoạt chất trích từ cua Eriocheir và từ rắn lục (viper).

Ghi chú:

         Tại các chợ thực phẩm có bán những thành phẩm đặt tên là Krab, đây không phải là thịt cua thật nhưng là những sản phẩm' imitation crab' làm từ cá whiting, pollock. Các sản phẩm này còn được gọi là Surimi (Xin xem bài Surimi trong tập 1 của 'Cá và Thủy sản'.

                                  

Tài liệu sử dụng:

- FAO Facts Sheets
- Fishbase-Species Summary
- Các tập Culinaria của Nhà Xuất bản Konemann
- On Food and Cooking (Harold McGee)
- West Coast Seafood (Jay Harlow)
- SeaFood of South-East Asia (Alain Davidson)
- The Oxford Companion to Food (Alain Davidson)
- Natural Medicines Comprehensive Database (Pharmacist' s Letter)

 

Trần Minh Quân

 

 

 

 

Trở Về Trang Chính