|
|
Collagen
và Gelatin
Trần Minh Quân
Bánh rau câu
Sau
những bài về Collagen như
“Chân gà..”,”Collagen và da..”
Trần Minh Quân nhận được một
số câu hỏi về.. Gelatin (! )
về Thạch, Cao..hổ cốt vì các
‘thành phẩm này đều liên hệ
đến Collagen.. Cầu cứu Bà
thân hữu bên Tây, Bà đã gửi
cho nhiều tài liệu về Gelatine đặc
biệt là Gelatine.. trong Nhà
bếp.. Bài này xin trình bày
một số điều đại cương về
gelatin và kỹ thuật nấu
nướng khi dùng Gelatin (các
phạm vi hóa học và y-dược
chỉ bàn sơ lược, xin Quý Vị
chuyên gia vui lòng chỉ dẫn
thêm)
Xin vui
lòng xem các bài về Collagen
của TMQ theo các links :
The Oxford
Companion to Food (Alan
Davidson) ghi:
“Gelatin, chế tạo từ
Collagen có vai trò quan
trọng trong ‘nấu nướng’ và
trong công nghiệp thực phẩm
vì có khả năng biến đổi một
lượng cao chất dịch thành
một khối có vẽ cứng hay gel.
“
Wikipedia
định nghĩa: “Gelatin là
một hỗn hợp peptid và
protein, tạo ra từ phản ứng
thủy giải không hoàn toàn
(một phần) các collagen
(trích từ da, xương, và mô
liên kết động vật như gia
súc, gia cầm, heo và.. cá).
Trong tiến trình thủy giải,
các nối tự nhiên trong các
sợi của collagen bị phân cắt
ra một dạng dễ tái sắp xếp.
Công thức hóa học của
gelatin rất giống với
collagen..”
Gelatin
gần như không vị, không mùi
và không màu tuy đôi khi
vàng rất nhạt. Gelatin trong
suốt và dễ vụn có các dạng
phiến lá, bột và mảnh nhỏ.
Các dung môi phân cực
(solvent polar) như nước
nóng, glycerol và acid
acetic có thể hòa tan
gelatin nhưng gelatin lại
không tan trong dung môi hữu
cơ như alcohol.
Gelatin
có thể hút lượng nước gấp
5-10 trọng lượng để tạo
thành gel.
Gel do
gelatin tạo ra có thể tan
chảy sau khi đun nóng lại..
Điểm tan chảy của gelatin
thấp hơn nhiệt độ cơ thể,
một yếu tố nên chú ý khi ăn
các thực phẩm làm từ
gelatin..
Gelatin và
Collagen cùng .. có mặt
trên các quầy trưng bày
‘thực phẩm chức năng’ và câu
hỏi là hai ‘chế phẩm’ này..
có gì khác nhau ?
Về phương
diện ‘lợi ích cho sức khỏe’ câu
trả lời là không có gì khác
biệt (identical)
Lý do đơn giản là : Gelatin
là dạng Collagen.. khi nấu
chín !.
Xin đọc bài
của Amy Meyers MD trên :
Bài “Collagen
and Gelatin” trên
Annual Review of Food
Science & Technologies
6-2015
là bài viết
rất đầy đủ để phân biệt giữa
Collagen và Gelatin; xin tóm
lược :
“Collagen và gelatin đã
được sử dụng rộng rãi trong
thực phẩm, dược và mỹ phẩm
do các đặc tính ‘sinh phù
hợp ‘rất tốt
(biocompatibility), dễ phân
hủy về phương diện sinh học
(biodegradability và rất ít
tạo các phản ứng về gene (antigenicity).
Collagen từ cá và gelatin (từ
cá) đang được chú ý do tính
cách an toàn và đáp ứng được
các tiêu chuẩn thực phẩm của
một số tôn giáo. Cấu trúc
của collagen đã được nghiên
cứu sâu rộng qua các kỹ
thuật sinh học tân tiến; cấu
trúc này có thể thay đổi tùy
nguồn trích, tùy mùa và do
đó có thể ảnh hưởng đến các
ứng dụng. Có rất nhiều
nghiên cứu đã tìm hiểu về
hoạt tính sinh học, và y-dược
học của collagen, gelatin và
các peptid-thủy giải
(hydrolysis peptides) qua
các thử nghiệm trong ống
nghiệm (in vivo) và lâm sàng
(in vitro.).”
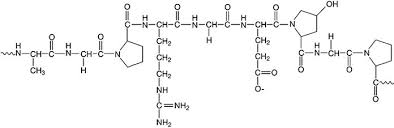
Về phương
diện cấu trúc hóa học
: Gelatin khác với
Collagen : Gelatin là dạng
Collagen bị thủy giải, không
còn cấu trúc ‘triple helix’
. Xin xem Collagen
và Da.
.png)
Công
thức cấu tạo gelatin
.png)
Cho đến
khoảng giữa
thế kỷ 19, ,
việc chế tạo
gelatin là
một công
việc.. tỉ mỉ
mất nhiều
công sức và
thời gian !.
Chân gia súc
(bò, heo..)
được bỏ vào
chảo to, rồi
đun. Chân
giò được hầm
rất lâu (nhiều
giờ) sau đó
chắt lấy
nước, bỏ
xương. Sau
khi để yên
trong 24 giờ,
một lớp mỡ
váng sẽ nổi
lên mặt,
phải vớt bỏ.
Thêm vào các
chất làm
ngọt ,tạo
vị..rồi đổ
vào khuôn..
và chờ.
Đến
khoảng
1840, một
số nhà
sản xuất
đã
nghiền
các khối
gelatin
thành
bột mịn,
hoặc xắt
khối này
thành
các
phiến lá
mỏng
(sheet)
Một
trong
những
người
tiên
phong là
Charles
Knox (tại
Johnston-New
York) đã
đóng gói
các
phiến lá
gelatin
và cho
người đi
rao bán,
bằng gõ
cửa từng
nhà,
quảng
cáo cách
dùng
gelatin
phiến
trong
món aspic (1),
cách đổ
khuôn và
làm món
tráng
miệng..
Đến
1896, Bà
Knox đã
phát
hành
quyển
sách “Dainty
Desserts”..
chỉ các
công
thức nấu
ăn dùng
gelatin
hiệu
Knox.
.png)
.png)
Bằng sáng chế đầu tiên về gelatin được cấp cho Peter Cooper (1945)(ông này lúc đó đang chuyên sản xuất keo dán=glue) .Đến 1897, Pearl Wait nhà chế tạo siro ho, đã tạo ra gelatin có vị trái cây, Vợ ông, Bà May Wait đặt tên thành phẩm là Jell-O. Thành phẩm này không thành công lúc ban đầu.. và Wait bán bản quyền cho Công ty Thực phẩm Genesee Food với giá 450 đô.. Sau các đợt quảng cáo .. số bán của thành phẩm tăng vọt (1902) thu nhập đến 250 ngàn đô !
Việc sử dụng gelatin trong thực phẩm gia tăng gấp 6 lần trong khoảng 40 năm (từ 1936-1976). Hiện nay số lượng Jello-O sản xuất mỗi năm lên đến 400 triệu hộp (gói).. Mỗi ngày dân Mỹ tiêu thụ trên một triệu gói.
Nhu cầu gelatin trên thế giới năm 2019 khoảng 620 ngàn tấn. Pháp đứng đầu Châu Âu về xuất cảng gelatin, nhưng ngược lại.. cũng nhập thêm (!).. vừa mua vừa bán (?)
Nguyên liệu :
Xương, da và mô (thịt còn lại bám vào xương) thu hồi từ các lò mổ thịt..(các nhà máy chế gelatin thường gần các lò mổ). Hiện nay tại Âu châu đang có những nghiên cứu chế tạo gelatin từ xương chân gà bị coi là phế phẩm đến hàng 5-10 tấn phải đổ bỏ.Trên thế giới khoảng 10-20% trọng lượng gia cầm sau khi hạ thịt bị xem là phế phẩm.
Các giai đoạn chế biến :
-
Khi nguyên liệu được đưa đến, đầu tiên là phần kiểm soát phẩm chất; loại bỏ các phần hư hỏng và được đưa vào máy cắt (chopping machine), cắt vụn các xương, da.. thành miếng nhỏ cỡ 12.7 cm (đường kính)
-
Sau đó nguyên liệu vụn được rửa bằng phun nước dưới àp suất cao , loại các mảnh nhỏ (debris); và khử mỡ bằng nhúng trong nước nóng, chỉ còn khoảng 2% chất béo. Dây chuyền (conveyor) chuyển các xương-da đã khử mỡ sang lò làm khô (dryer) và nướng trong khoảng 30 phút ở 100 độ C.
-
Các nguyên liệu được ngâm trong thùng lớn chứa lime (calcium hydroxide) hay một loạt acid ‘/hoặc kiềm (tùy nhà sản xuất chọn) trong khoảng 5 ngày. Trong giai đoạn này : khoáng chất và vi khuẩn bị loại hết và collagen được phóng thích. Acid thường dùng là hydrochloric acid 4% (pH dưới 1.5). Chất kiềm (nếu dùng) là potassium hay sodium carbonate , ở pH trên 7.(Trong công nghiệp : Gelatin chế bằng cách ngâm acid được gọi là Gelatin loại A ; còn ngâm chất kiềm là Gelatin loại B) .Một phương pháp mới hơn là dùng các men (enzymes) thay cho acid/kiềm).
-
Các mảnh xương, da.. sau khi ngâm acid hoặc kiềm được đưa vào một hệ thống trích (extractor) bằng nhôm) và được đun sôi trong nước cất, Một ống dẫn từ extractor đưa nước có chứa gelatin ra ngoài, Nước này được thanh trùng bằng chiếu nhiệt (flash-heat) ở 140 độ C trong khoảng 4 giây. .
-
Từ extractor , nước (có gelatin) được hút qua hệ thống lọc, lọc sạch các mảnh vụn còn lại , rồi đưa qua hệ thống làm bốc hơi (evaporator) rút hết nước khỏi khối gelatin đông cứng ; (nước rút ra coi là phế phẩm) Khối gelatin đi qua máy ép thành phiến.. và tùy nhu cầu các phiến được đưa qua máy nghiền thành bột gelatin. (lá gelatin được gọi tại Pháp là grénétine)
-
Gelatin dùng trong thực phẩm được thêm chất làm ngọt,, chất tạo mùi-vị và màu vào giai đoạn này..
-
Việc đóng gói được ‘tự động hóa’, lượng đóng vào gói đều tính sẵn.
-
Công việc sản xuất được kiểm soát phẩm chất rất kỹ qua từng công đoạn và tuân theo các đòi hỏi của ngành công nghiệp thực phẩm do FDA ấn định.
-
Gelatin và Sức khỏe :
Mỗi khi nói đến Gelatin, môi người nghĩ ngay đến món ăn tráng miệng như khối ‘keo’ nhiều màu. nhưng gelatin thật ra là một thành phần trong các món như súp, nước dùng, sốt (sauce), kẹo dẻo=gummies, kẹo xốp=marshmallow, trong mỹ phẩm và cả dược phẩm..(không thuộc phạm vi bài này)
USDA có liệt kê thành phần dinh dưỡng của 3 thành phẩm gelatin :
Calories (335); Protein (85g); Potassium (16mg); Sodium (196mg)
Không có chất béo, carbohydrate, chất xơ và cholesterol.
Calories (381) ; Protein (7g) ; Carbohydrate (90g)- Đường (86g); Potassium (7mg); Sodium (466mg) ; Không có các chất khác, kể cả cholesterol.
Gelatin chứa nhiều protein nên được chọn làm ‘thực phẩm’ tốt cho người hồi phục sau khi bệnh, và nhiều người đã dùng gelatin như một thực phẩm bổ túc hỗ trợ sức khỏe.
Thành phần protein trong Gelatin và Collagen có nhiều ‘tương đồng’ và các thử nghiệm cũng cho thấy dùng gelatin trong thực đơn có thể đem đến các lợi ích tương tự (?)
Các acid amin chính trong gelatin gồm glyxin, proline và valine..và còn có lysine, arginine (Valine là một acid amin căn bản mà cơ thể không tự tạo được, phải được đưa vào cơ thể qua thực phẩm).
Tuy gelatin chứa 98-99 % protein, nhưng không phải là là ‘toàn hảo’’ vì trong gelatin không có tryptophan và cũng thiếu isoleucine, threonine và methionine. (trong khi đó hydrolyzed collagen và collagen có thành phần như nhau.
Theo Medical News Today (www.medicalnewstoday.com/articles/319124#amino-acids
Các lợi ích của Gelatin có thể gồm :
-
Giúp bồi bổ các mô tế bào cơ thể : 240gr= 1 cup gelatin chứa 0.82g protein và protein là dưỡng chất quan trọng=micronutrients để nuôi cơ thể. (thịt là một nguồn protein nhưng lại có thêm chất béo có hại, gelatin không chứa chất béo)
-
Giúp bảo vệ da : Da khỏe và đẹp. Collagen tạo cho da khỏe mạnh và dáng vẻ đẹp. Cơ thể mất dần collagen trong tiến trình lão hóa : da trở thành bớt vững chắc, vết nhăn và làn gấp xuất hiện.. Gelatin có thể giúp giảm bớt các hiện tượng này , tuy nhiên chưa có nghiên cứu khoa học nào xác nhận gelatin có thể thay thế vai trò của collagen trong các hoạt tính trên da
-
Giúp tiêu hóa : Gelatin có chứa glutamic acid, chất có hoạt tính tốt trên lớp màng nhầy lót bên trong bao tử. Gelatin cũng giúp kích thích sự tiết dịch vị; kết nối với nước giúp thực phẩm di chuyển trong hệ tiêu hóa..
-
Giảm cảm giác đau khớp : Gelatin có thể giúp giảm cảm giác đau khớp do tác động vào các diễn tiến sưng-viêm..(Xem PubMed)
-
Giúp kiểm soát mức đường trong máu : Gelatin có glycine, acid amin này giúp các bệnh nhân tiểu đường loại 2 điều hòa mức glucose trong máu (nhưng tránh ăn loại kẹo dẻo =gummies, vì kẹo này có nhiều đường)
-
Tăng cường xương : Lysine trong Gelatin giúp ‘chắc’ xương, giúp cơ thể hấp thu calcium.. Có thể dùng gelatin hỗ trợ thêm khi điều trị bệnh xương xốp (osteoporosis)..
-
Tóc và Móng tay : Các tác dụng như giúp.. mọc tóc, làm móng tay bớt giòn, dễ gãy.. được ‘bàn’ từ những năm 1950s (cho là do lysine), nhưng không có các chứng minh khoa học
-
Gelatin trong Nhà bếp :
Gelatin được dùng trong thực phẩm từ thế kỷ 15 tại Anh, dùng móng, chân bò hầm rất lâu để tạo chất keo (gel) và vì khó khăn nên chỉ dành cho giới giàu có, thượng lưu. Tại Âu châu, cuối thế kỷ 17, Denis Papin tại Pháp nghĩ ra cách hầm xương để lấy gelatin.. nấu ăn.. 1812 nhà hóa học Pháp Jean Pierre d’Arcet tìm được cách dùng hydrochloric acid để trích gelatin (xem trên). Chính phủ Pháp xem gelatin như một nguồn protein rẻ tiền cho dân nghèo..
Người Việt đã biết chế tạo gelatin từ xa xưa với món.. thịt đông miền Bắc VN
Trong quá trình đun nấu , Gelatin trải qua nhiều biến đổi hóa học để trở thành một khối đông, cứng bên ngoài theo hình dạng của khuôn nhưng bên trong vẫn mềm dễ xắt..(2)
Dùng trong thực phẩm, gelatin có nhiều dạng: bột , lá mỏng, hạt nhỏ. : Gelatin được dùng như tác nhân làm đặc, tạo ổn định, tạo kết cấu (texture) trong các sản phẩm bánh kẹo, mứt, kem lạnh, yaourt, margarine và bánh ngọt.. Gelatin cũng dùng thêm vào các thực phẩm ăn kiêng, giảm thèm ăn vì tạo cảm giác no…
Đầu bếp Thượng hải trộn gelatin vào các dumplings (nhân) há cảo, hoành thánh, bánh bao..các loại hấp và cá chiên..
Công nghiệp thực phẩm dùng gelatin :
-
chất bao (bọc lại) hay chất ngăn cách (separation) cho một số trường hợp, gelatin làm cho beta-carotene tan trong nước, tạo màu vàng cho nước giải khát
-
Làm trong các nước ép trái cây (như nước táo, cidre) bằng tạo ổn định các protein, và làm trong giấm..
-
Dùng trong công nghiệp làm trong rượu nho nhờ tác dụng “collage” (dùng một chất giúp thu hút quy tụ các chất cặn hay mảnh vụn thật nhỏ, sau đó loại bỏ cùng chất đã dùng để làm tác nhân thu hút)
Collage, bắt đầu từ thế kỷ 19, rất sơ đẳng dựa theo kinh nghiệm, bị thay thế bằng các phương pháp làm trong rượu nho bằng lọc và ly tâm, nhưng sau đó các nhà chuyên môn đã tìm ra phương thức collage để ‘tụ’ và loại các yếu tố hòa tan (cần loại). Collage cũng loại được các tannins (không thích hợp) giúp rượu nho bớt đắng và chát..
Gelatin và Thạch ?
Tại Việt Nam, danh từ “Thạch” được dùng chung để gọi tất cả các dạng.. Jelly.
Wikipedia Việt giải thích : “Thạch hay Rau câu hay Thạch rau câu hay đông sương là món ăn nhẹ làm từ gelatin..” Wikipedia tạo ‘nhầm lẫn ‘ không phân biệt gelatin (gọi là thạch rau câu) trong đoạn “Y học” thì thạch rau câu chế tạo từ collagen ; và trong đoạn ‘Ẩm thực thế giới” tiếp sau lại .. viết về kanten’ (tên gọi agar từ rong biển tại Nhật) và các món khác của các quốc gia.. đều từ.. Agar-agar..?! Gelatin dessert cũng được chuyển ngữ thành Thạch
Do đó các bà nội trợ Việt đã phân biệt :
-
Thạch gelatin
-
Thạch rau câu = Thạch xu-xoa (sương sa) ; còn gọi là Bột rau câu dẻo , sản xuất từ rong biển. Agar-agar là polysaccharides trích từ các rong loại Gelidiaceae (rong tengussa) và rong ogonori (Gracilaria). (Xin đọc “Rong biển tại Nhật “ của TMQ)
-
Các loại thạch từ dung dịch lá cây đông đặc lại như Sương sáo (Thạch đen); Sương Sâm..
-Sương sáo hay Thạch đen : từ lá cây Platostoma palustre họ Lamiaceae. Tên Hán việt là Tiên thảo; Tiên nhân thảo.. Anh-Mỹ gọi là Chinese mesona, Cây được trồng phổ biến tại Cao Bằng (Việt Nam) Sương sáo còn có tên khi đóng hộp là Grass jelly, leaf jelly..
-Sương sâm hay sâm-sâm : từ lá cây Tiliacora acuminata hay T triandra họ Menispermaceae , mọc hoang tại Đông và Tây ‘Nam bộ’, cho jelly màu xanh lục.
Sương xâm và lá sương xâm
.png)
Xu xoa – Agar agar Rong tengussa
-
Gelatin trong Công nghiệp khác :
-
Trong công nghiệp Mỹ phẩm , gelatin (hydrolyzed collagen) được dùng trong kem thoa ngoài da (chất giúp tạo kết cấu, làm ẩm)..
-
Công nghiệp dược dùng gelatin làm vỏ viên-nang (capsule), giúp ‘che’ vị đắng của thuốc và giúp dễ nuốt.
-
Công nghiệp keo dán : gelatin dùng làm keo dán có lẽ là ứng dụng xa xưa nhất (?).và muốn làm keo, dung dịch gelatin phải giữ ấm (warm) : hạt gelatin nhúng nước, và đổ thành kết cấu như cao-su, phồng lên khi đun nóng ở 55 độ C; dùng ngay để dán gỗ, sẽ dính khi khối gelatin nguội lại.. Nhưng loai keo gelatin này.. kỵ nước và không bền khi quá ẩm ! tuy nhiên có ưu điểm là khi muốn muốn tháo (lúc ráp sai) là chỉ cần nhúng acid acetic.. Các mảnh đã dán sẽ tự rời nhau, gelatin khô tự bong và các mảnh gỗ có thể dán lại dễ dàng.
-
Dùng trong công nghiệp phim-ảnh : giữ các tinh thể halide-bạc trong nhũ dịch dùng tráng các phim chụp ảnh và giấy in ảnh. Dùng làm giấy láng : thoa trên bài, trên giấy in..
-
Trong Kỹ thuật Sinh-học : gelatin dùng trong hydrogel tổng hợp để thoa dán trong kỹ thuật biến đổi về mô (tissue engineering) ; dùng làm tác nhân tạo bão hòa (saturating agent) trong thử nghiệm xét nghiệm miễn dịch (immunoassay)..
Ghi chú :
-
Aspic : món ăn khá ngon làm bằng gelatin và nước dùng nấu từ thịt, đổ khuôn có thêm vài miếng thịt xắt nhỏ, thủy sản hay trứng..Khi đặc lại khối aspic có hình dạng rất đẹp mắt. Thịt đông Việt là một dạng..aspic.
-
Các biến đổi hóa học khi đun nấu gelatin: Gelatin là một tác nhân tạo đông đặc (thickening agent)..Khả năng đặc biệt của gelatin là tạo keo= gel) và đặc lại theo khuôn khi đổ.. và giữ hình dạng của khuôn.
Trước khi hòa tan gelatin trong nước, cần ngâm gelatin trong nước lạnh khoảng 4-5 phút để làm mềm, khối lượng phồng lên và sẽ dễ hòa tan khi tăng nhiệt độ của nước ngâm. Vớt ra và bỏ vào lượng nước nóng cần thiết : Khi nước ấm lên quanh khối protein (gelatin) và các hạt tử (particle) gelatin bắt đầu ‘to lên’, hạt hút nước và tạo một hỗn hợp gọi là “sol” (tên gọi riêng của các nhà hóa học), trong đó chất gelatin tăng hoạt (energize) do nhiệt và ở nguyên trạng thái lỏng mà các particle còn di chuyển tự do. Khi dung dịch lạnh xuống, năng lượng đang có bắt đầu giảm và dung dịch trở thành một “gel đây là ‘điểm mốc’ mà gelatin bắt đầu đặc. Tuy nhiên có thể có một trạng thái trước khi tạo ‘gel’, đó là khi gelatin chưa hoàn toàn cứng : lúc này nếu khối gelatin bị quậy hoặc ‘đánh mạnh =beaten; không khí được đưa vào (trước khi gelatin đông cứng) : gelatin trở thành dày, thông thoáng (airy) và thành một chất có kết cấu trơn tru (smooth-textured). Đây là cách làm các món tráng miệng như soufflé, mousse..
.png)
.png)
Chú ý là khi rắc hoặc bỏ bột gelatine vào ngay một chén nước nóng : gelatin sẽ đóng cục..
Gelatin được dùng làm ‘chất làm đặc trong Khi làm broth, súp, kẹo, sirô, sốt.. và làm chất ‘tạo kết dính(binding) trong thịt đóng hộp,pho-mát, chế phẩm từ sữa..
Khi làm món tráng miệng,có thể thêm trái cây trước khi gelatin đông đặc nhưng các loại trái cây như vả (fig), dứa tươi và đông lạnh, (dứa có men bromelain) ổi, đu đủ.. (do một phản ứng hóa học riêng) sẽ làm gelatin.. không đông thành jelly..
-
: Vài chuyện linh tinh :
-Một số tôn giáo (Do thái,Hồi..) cấm dùng gelatin gốc collagen động vật, nên chỉ dùng gelatin từ collagen cá. Tuy nhiên một số nhà giáo luật Hồi cho rằng trong quá trình rửa, các tạp chất không tinh khiết (theo luật halal) đã bị loại hết.. Dân La mã khi xưa không ăn jelly từ chân.. Ngựa vì theo truyền thống quý ngựa’
-Người ăn chay (và người không ăn thịt động vật) không xài gelatin trích từ động vật.. Người Sikh, Hindu..không ăn gelatin .. thay bằng agar..
-Bệnh Bò điên (Mad cow disease) BSE=Bovine Spongiform Encelopathy gây một số quan ngại vì gelatin làm từ xương, chân, da bò; Tháng 3/2016 FDA xác nhận gelatin qua quá trình chế biến.. không bị nhiễm nên rất an toàn khi sử dụng.
|
|
|